Login
Textbook
Cheat Sheets
Orgoreview
Question Vault
Welcome to orgoreview question vault. We have 5000 more problems for you to solve.
Share
Show
Answer
Print
QUestion
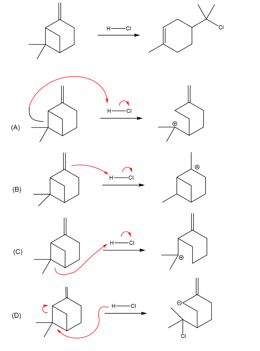
Select the most likely first step in the mechanism of the following reaction.
(A)
(B)
(C)
(D)
TOP