Login
Textbook
Cheat Sheets
Orgoreview
Question Vault
Welcome to orgoreview question vault. We have 5000 more problems for you to solve.
Share
Show
Answer
Print
QUestion
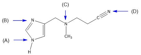
The following compound has four nitrogen atoms. Which of the four nitrogen atoms would be the most basic?
(A)
(B)
(C)
(D)
(E)
TOP