Login
Textbook
Cheat Sheets
Orgoreview
Question Vault
Welcome to orgoreview question vault. We have 5000 more problems for you to solve.
Share
Video
Solution
Print
QUestion
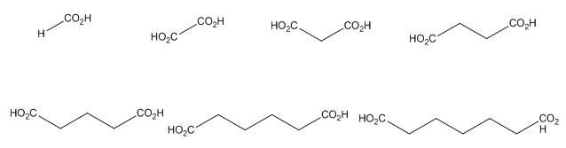
Match the name of each acid with its structure. On your scantron, write the name below each structure.
Adipic
Formic
Glutaric
Malonic
Oxalic
Pimelic
Succinic
Video Solution
×
TOP