Orgoreview

Question Vault

Welcome to orgoreview question vault. We have 5000 more problems for you to solve.

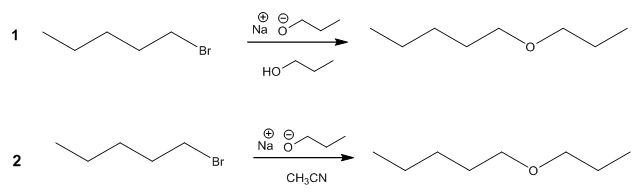
From knowledge of the reaction mechanisms, choose the correct statements about the following transformations.



i)  If the concentration of 1-bromopentane is doubled, the reaction rate of both reactions will double.

ii)  If water is added to reaction 2, the reaction rate will increase.

iii) Reaction 2 will be faster than reaction 1 at a fixed concentration of reactants.
TOP