Login
Textbook
Cheat Sheets
Orgoreview
Question Vault
Welcome to orgoreview question vault. We have 5000 more problems for you to solve.
Share
Show
Answer
Print
QUestion
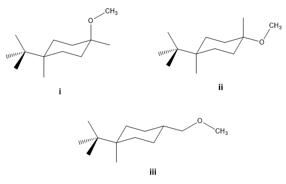
The following substitution reaction was carried out.
Possible products include:
Which of the following best represents the expected product mix for the substitution?
(A)
i only
(B)
ii only
(C)
iii only
(D)
an unequal mixture of i and ii
(E)
an equal mixture of i and ii
TOP