Login
Textbook
Cheat Sheets
Orgoreview
Question Vault
Welcome to orgoreview question vault. We have 5000 more problems for you to solve.
Share
Show
Answer
Video
Solution
Print
QUestion
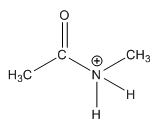
Choose the species that is most likely not to be an intermediate in the acid catalyzed hydrolysis of the following amide to the carboxylic acid.
(A)
(B)
(C)
(D)
(E)
Video Solution
×
TOP