Login
Textbook
Cheat Sheets
Orgoreview
Question Vault
Welcome to orgoreview question vault. We have 5000 more problems for you to solve.
Share
Print
QUestion
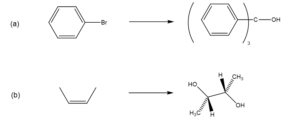
Propose reagents that would complete the following schemes (more than one step may be necessary).
TOP