Login
Textbook
Cheat Sheets
Orgoreview
Question Vault
Welcome to orgoreview question vault. We have 5000 more problems for you to solve.
Share
Show
Answer
Video
Solution
Print
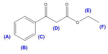
QUestion
Which letter (A-F) on the following structure indicates the position of the
most acidic
proton?
(A)
(B)
(C)
(D)
(E)
(F)
Video Solution
×
TOP