Login
Textbook
Cheat Sheets
Orgoreview
Question Vault
Welcome to orgoreview question vault. We have 5000 more problems for you to solve.
Share
Show
Answer
Print
QUestion
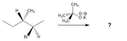
If you repeated the reaction using potassium tert-butoxide as the base, what would be the main elimination product?
(A)
(B)
(C)
(D)
(E)
TOP