Orgoreview

Question Vault

Welcome to orgoreview question vault. We have 5000 more problems for you to solve.

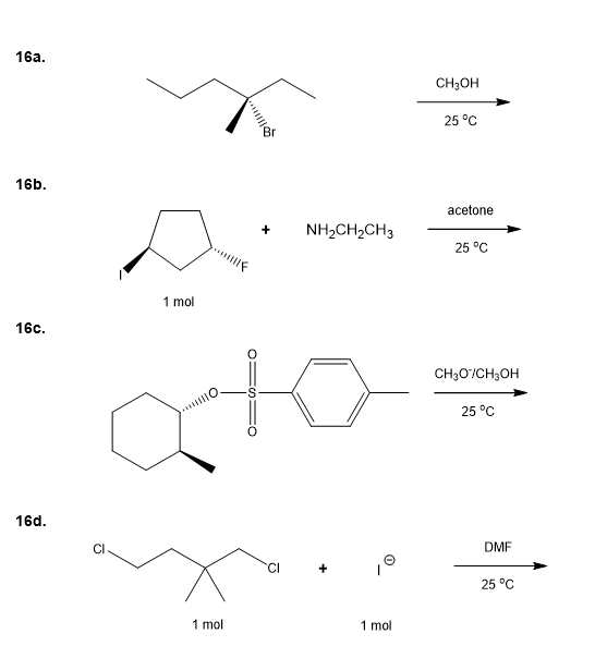
Clearly draw the correct major product or products for each reaction. Clearly indicate the stereochemistry as appropriate.

TOP