Orgoreview

Question Vault

Welcome to orgoreview question vault. We have 5000 more problems for you to solve.

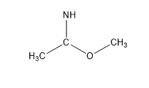
Draw the two best contributing structures for methylimidate.

To get you started a partial structure is given.



Choose the incorrect statement.

Video Solution

TOP