Login
Textbook
Cheat Sheets
Orgoreview
Question Vault
Welcome to orgoreview question vault. We have 5000 more problems for you to solve.
Share
Show
Answer
Video
Solution
Print
QUestion
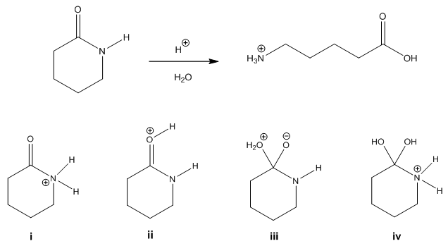
Choose the intermediate(s) in the acid catalyzed hydrolysis of the following amide.
(A)
i + ii
(B)
ii + iii
(C)
iii + iv
(D)
i + iii
(E)
ii + iv
(F)
i + iv
Video Solution
×
TOP