Login
Textbook
Cheat Sheets
Orgoreview
Question Vault
Welcome to orgoreview question vault. We have 5000 more problems for you to solve.
Share
Print
QUestion
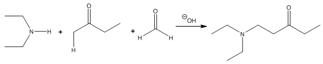
Using the curved arrow formalism give a reaction mechanism showing the bond making and bond breaking in the following transformation.
TOP