Orgoreview

Question Vault

Welcome to orgoreview question vault. We have 5000 more problems for you to solve.

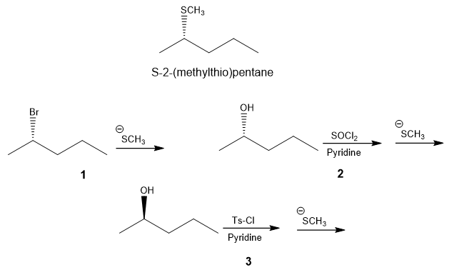
Choose the synthetic method(s) that would produce S-2-(methylthio)pentane as the major product.

Video Solution

TOP