Login
Textbook
Cheat Sheets
Orgoreview
Question Vault
Welcome to orgoreview question vault. We have 5000 more problems for you to solve.
Share
Show
Answer
Print
QUestion
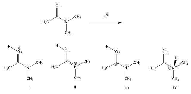
Shown below are three representations of protonated N, N-dimethylacetamide. Identify the incorrect statement.
(A)
Structure (ii) is the most important of the resonance structures shown.
(B)
The C─O bond in protonated N,N-dimethylacetamide would be shorter than the C─O in N,N-dimethylacetamide.
(C)
Structure (iv) is not a resonance form of the others.
(D)
The structure at the N atom is predicted to be trigonal planar.
(E)
Structure (iii) is the least important of the resonance structures shown.
TOP