Orgoreview

Question Vault

Welcome to orgoreview question vault. We have 5000 more problems for you to solve.

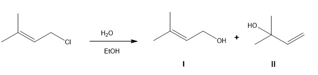
The following substitution reaction produces two major products.  Product I seems to be the more obvious product.  Draw a curved arrow mechanism for the reaction that leads to product II. Clearly show all bond breaking and bond making steps, and draw out all important intermediates.

Video Solution

TOP