Login
Textbook
Cheat Sheets
Orgoreview
Question Vault
Welcome to orgoreview question vault. We have 5000 more problems for you to solve.
Share
Video
Solution
Print
QUestion
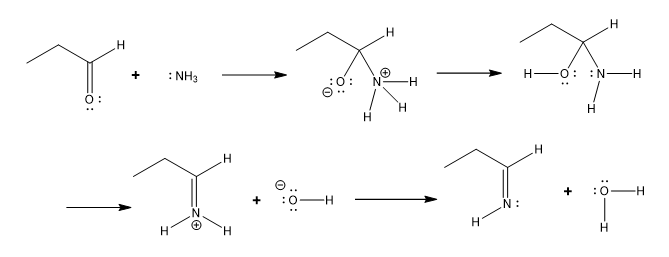
Add curved arrows to each step of the following scheme to clearly show the bond making and bond breaking processes.
Video Solution
×
TOP