Login
Textbook
Cheat Sheets
Orgoreview
Question Vault
Welcome to orgoreview question vault. We have 5000 more problems for you to solve.
Share
Print
QUestion
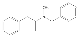
Benzphetamine is sold as an appetite suppressant drug. Propose a synthesis starting with benzene and any other carbon containing compounds of three carbons or less.
TOP