Login
Textbook
Cheat Sheets
Orgoreview
Question Vault
Welcome to orgoreview question vault. We have 5000 more problems for you to solve.
Share
Show
Answer
Show
Solution
Video
Solution
Print
QUestion
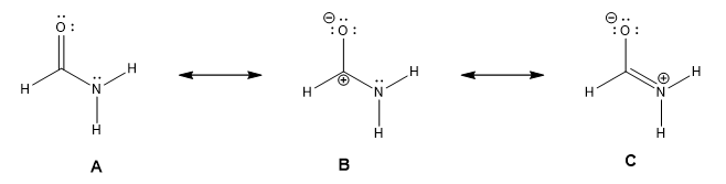
Select the statement that is not true about the following resonance structures.
(A)
A
is more stable than
B
.
(B)
A
is more stable than
C
.
(C)
B
is more stable than
C
.
(D)
Structure
B
has less bonds than
A
and
C
.
(E)
All of these structures have the same number of valence electrons.
Video Solution
×
TOP