Orgoreview

Question Vault

Welcome to orgoreview question vault. We have 5000 more problems for you to solve.

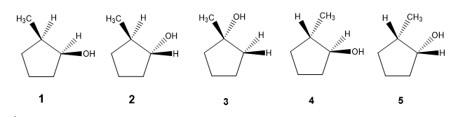
Supposed you carried out the hydroboration of 1-methylcyclopentene:




Choose the correct answer for the products formed in the above reaction.

Video Solution

TOP